市场开市中
纽约 14:30
伦敦 21:30
香港 09:30
【公告】香港50及中华A50合约细则更改调整通知
|
【公告】中华300合约细则更改调整通知
|
【公告】部分美股业绩公布前调整通告
APP下载
扫码下载APP
|
|
登录
|
注册
首页
产品服务
▼
贵金属
推荐交易
交易平台
▼
实时K线行情
APP 下载
MT5
富得学院
市场分析
▼
财经快讯
财经日历
历史回顾
关于我们
开立账户
XAUUSD
--
--
XAGUSD
--
--
XPTUSD
--
--
美元指数
--
--
当前位置:
首页
>
合约细则
>
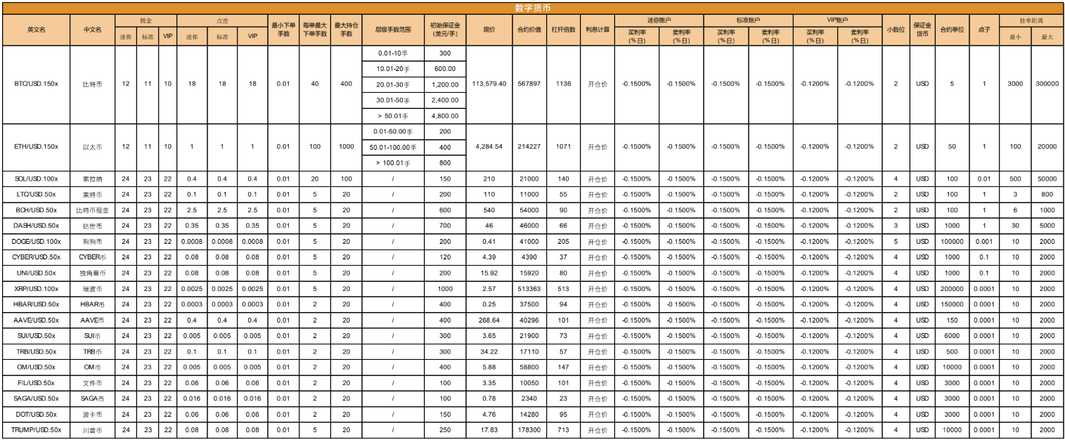
数字货币
分类
商品
指数
股票
外汇
数字货币
数字货币
×